BPD Comr. Michael Cox is trying to stop a “dishonest” cop from losing his POST certification
Here are the highlighted documents from my Herald column, regarding the lawsuit by a BPD captain, as well as the “officer resume” of cop at center of the captain’s complaint, who he says Cmr. Cox is trying to prevent from losing his certification.
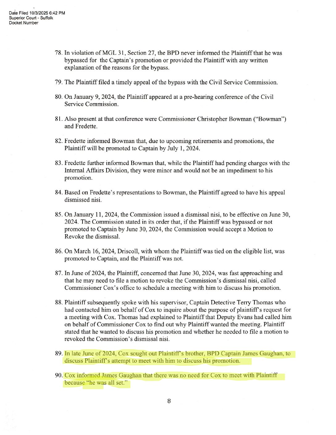
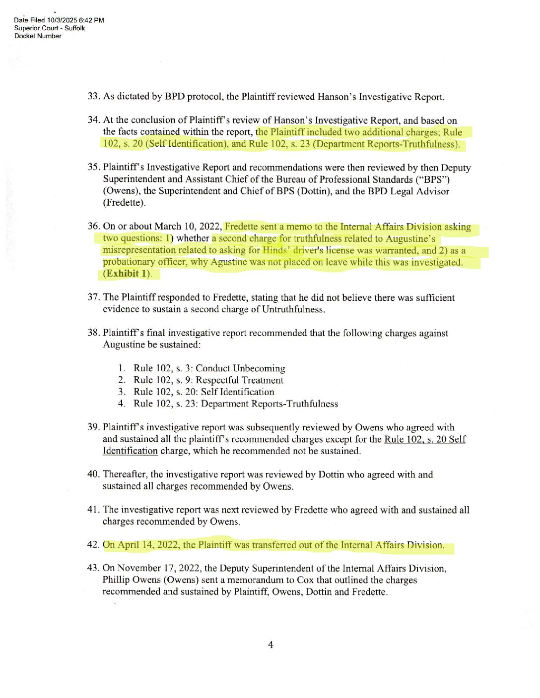
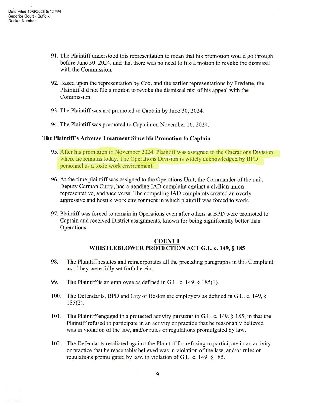
First, the lawsuit. Then, the “officer resume” (the complaints against him that were investigated by Internal Affairs) & finally, his punishment, such as it is.






















